Benchmarking Results




The following two tables show the complete results of our benchmarking procedure with a large number of different objects and algorithms. Each table entry represents one diagram with a different set of parameters. Please click on a link to see the automatically generated diagram of our benchmarking suite.

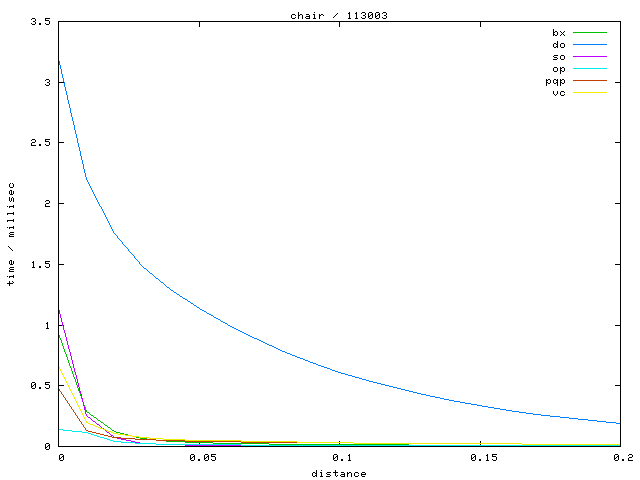
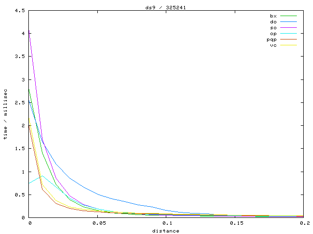
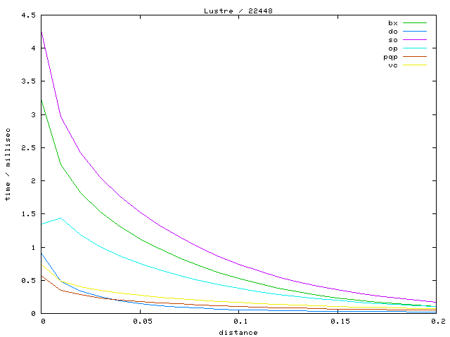
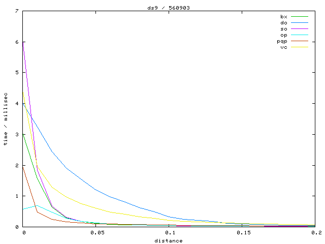
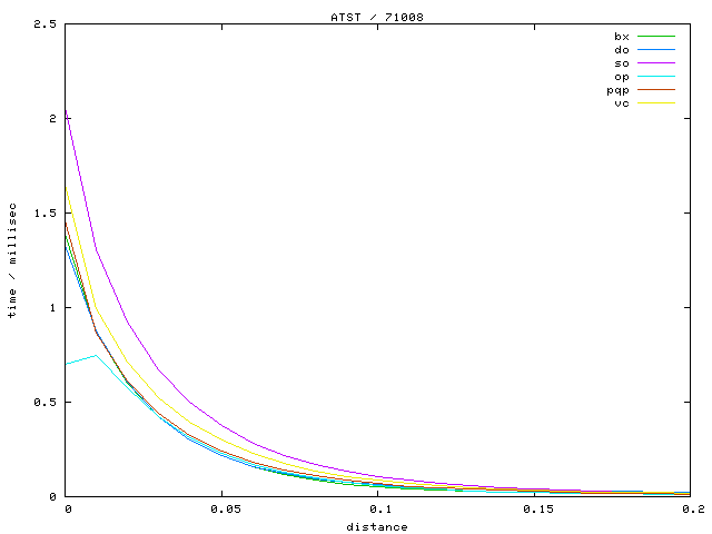
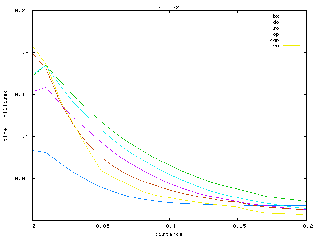
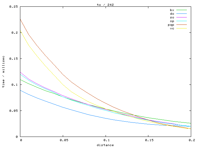
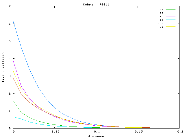
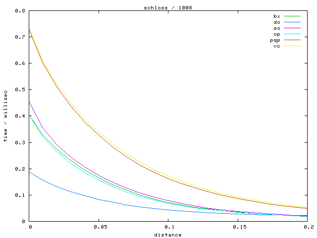
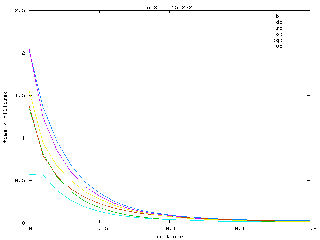
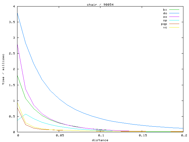
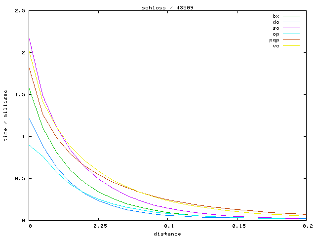
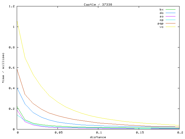
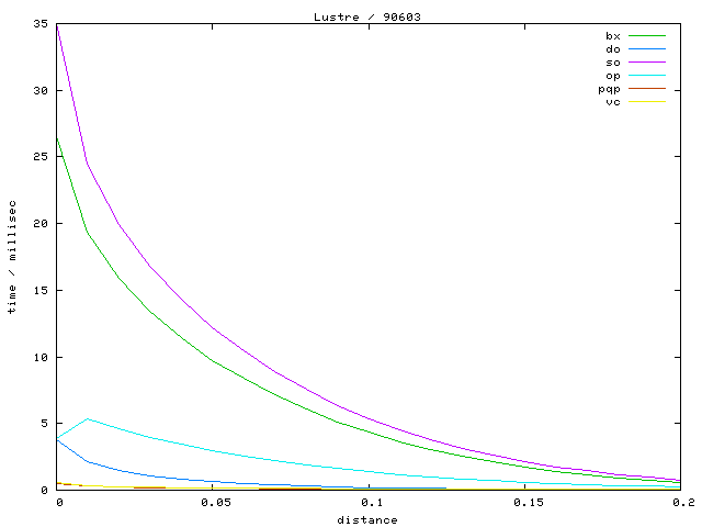
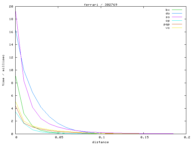
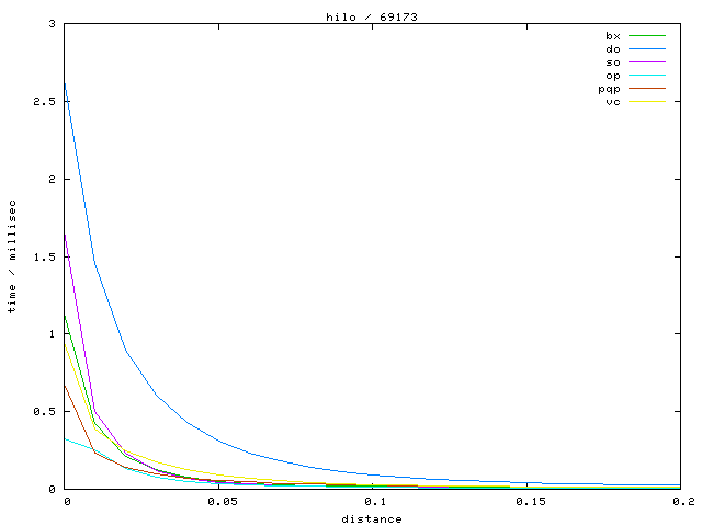
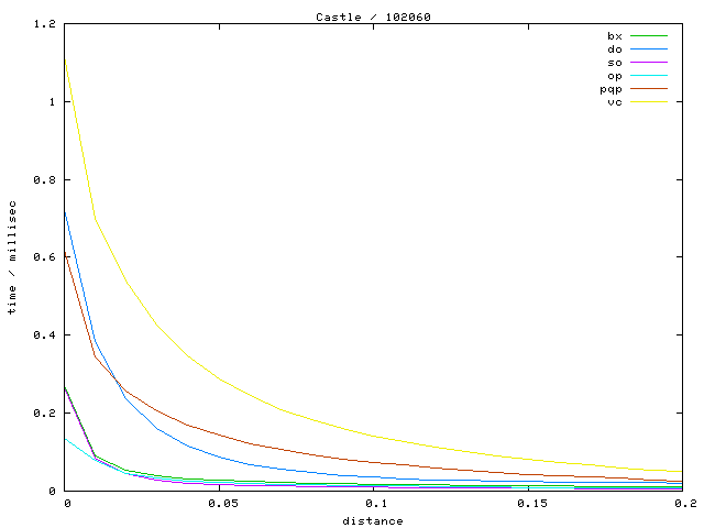
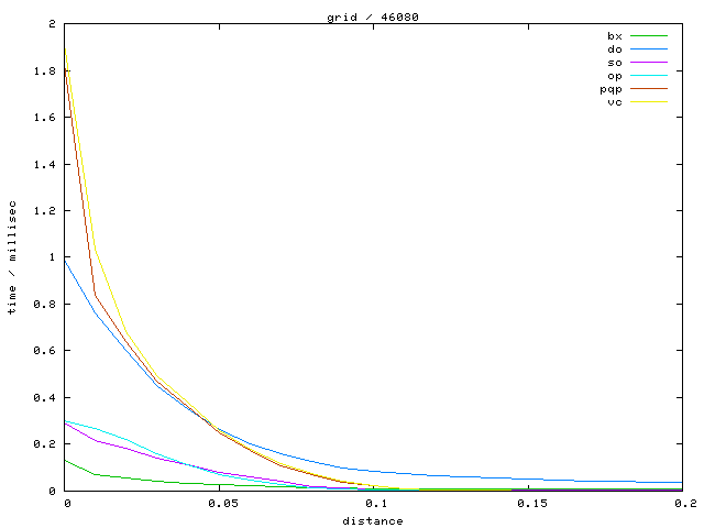
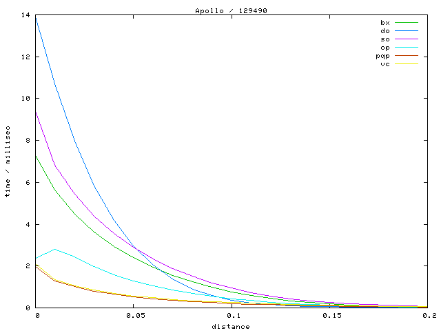
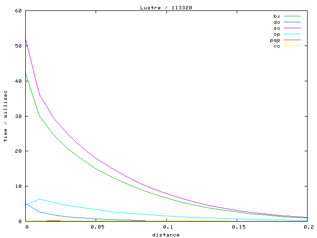
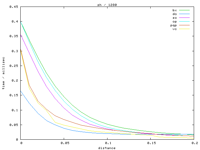
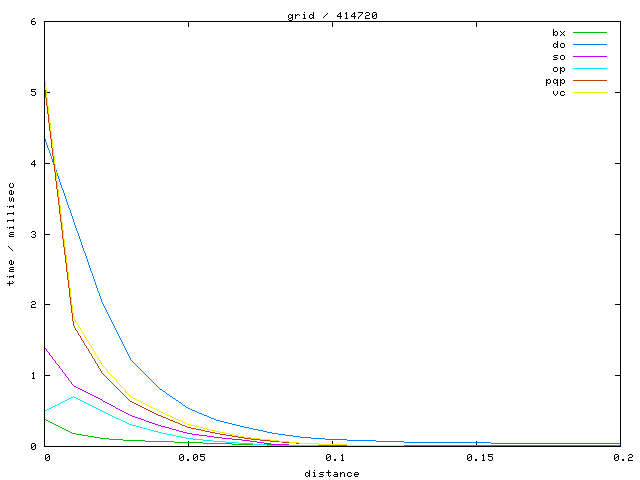
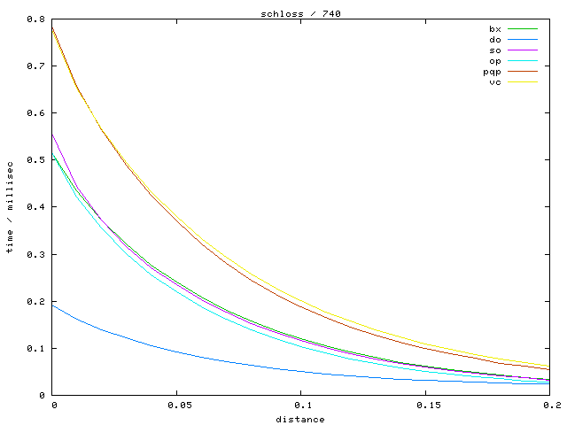
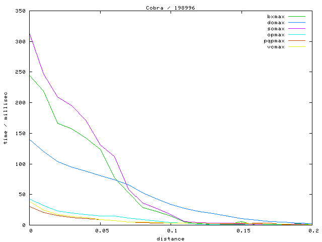
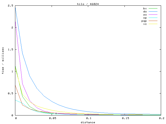
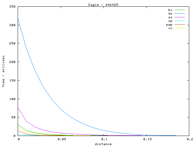
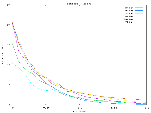
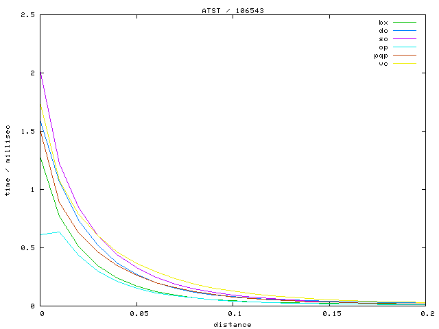
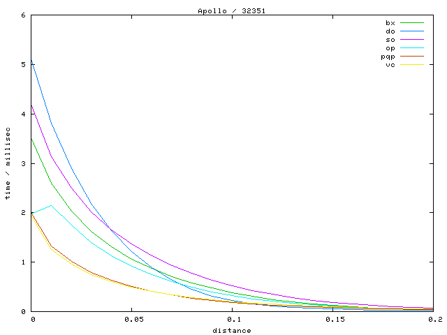
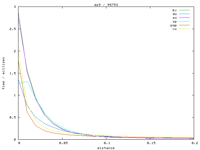
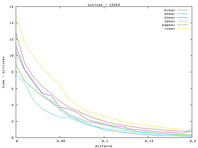
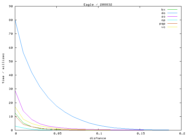
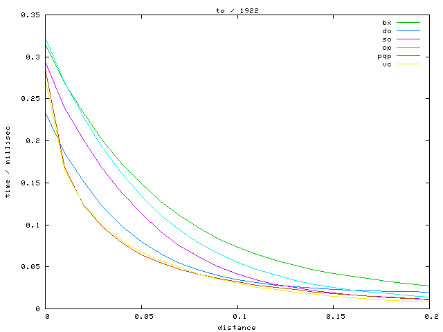
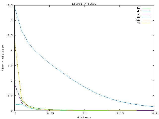
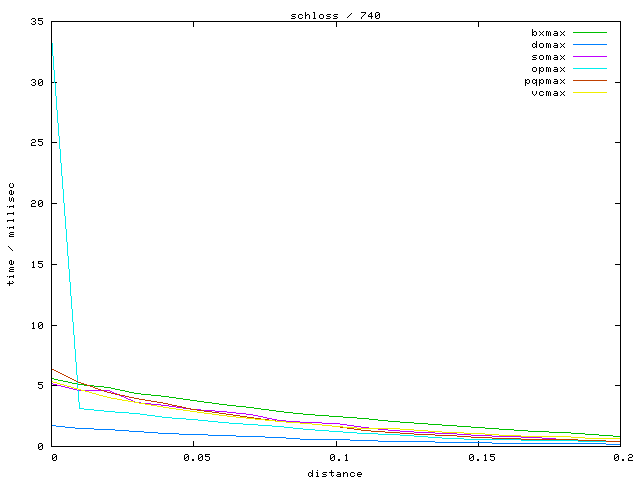
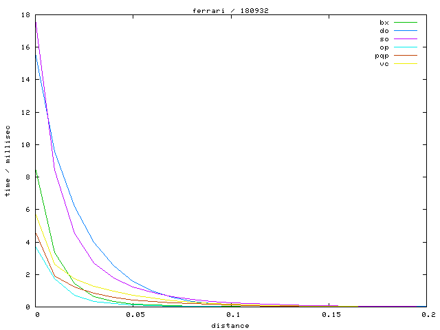
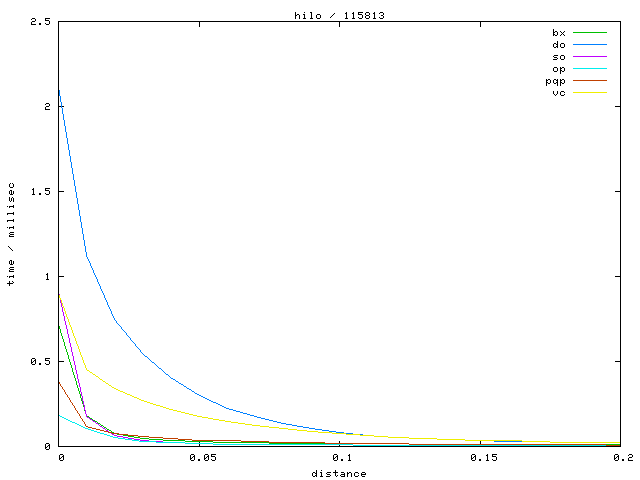
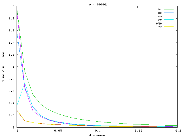
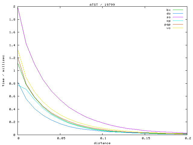
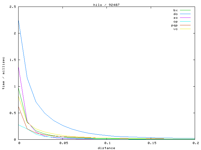
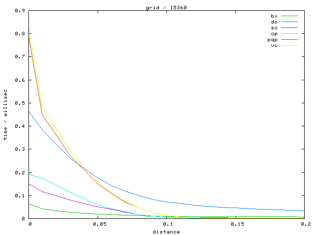
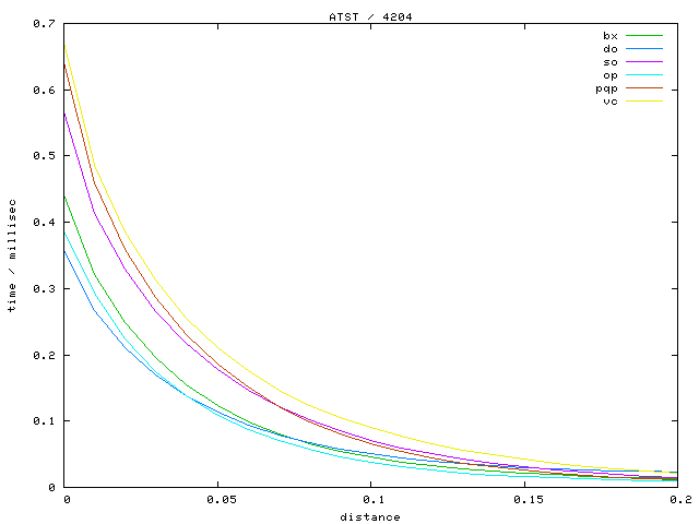
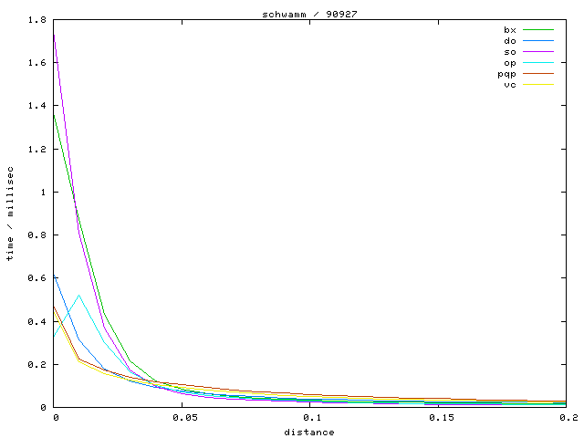
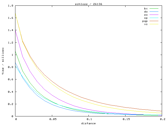
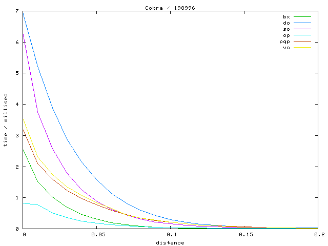
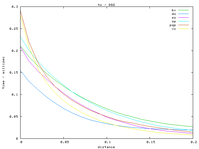
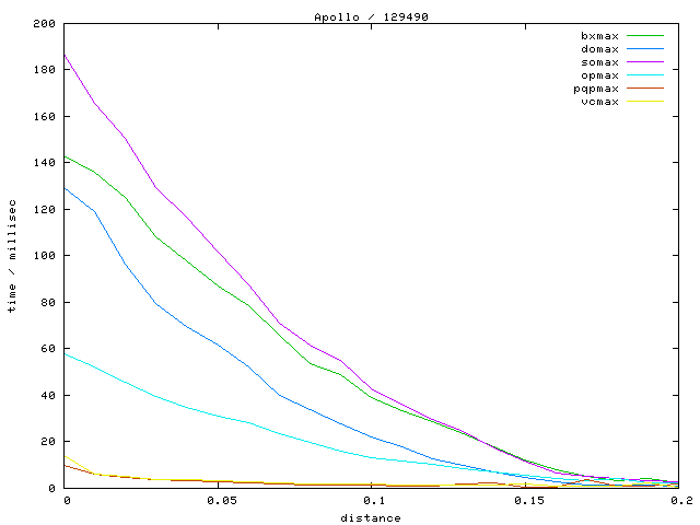
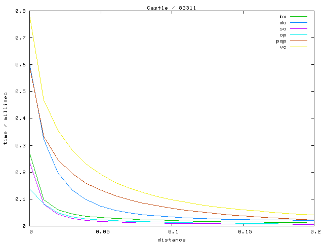
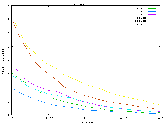
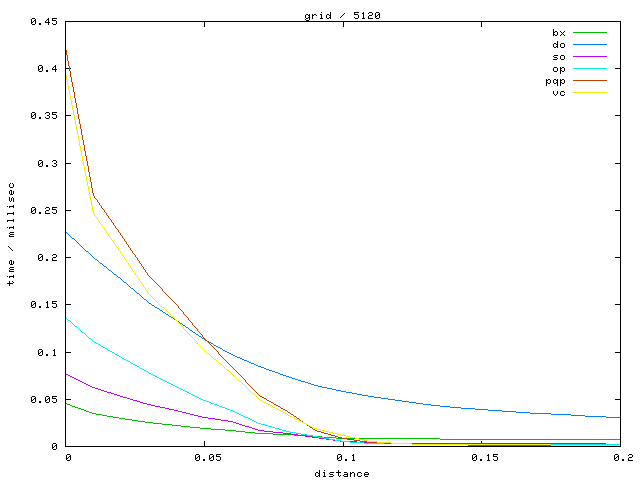
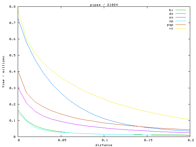
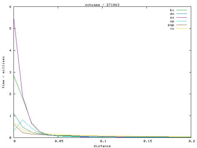
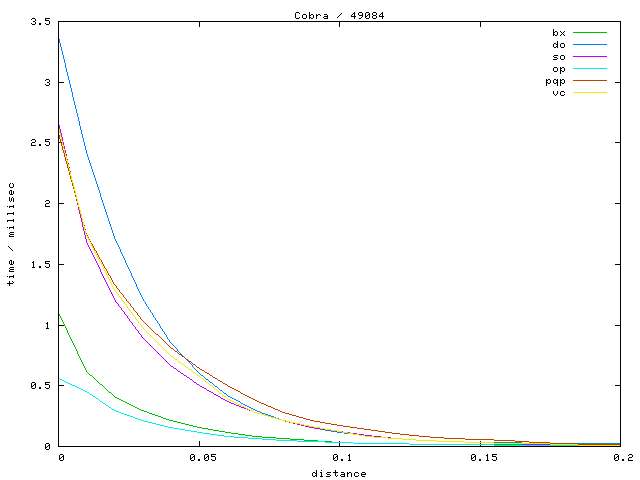
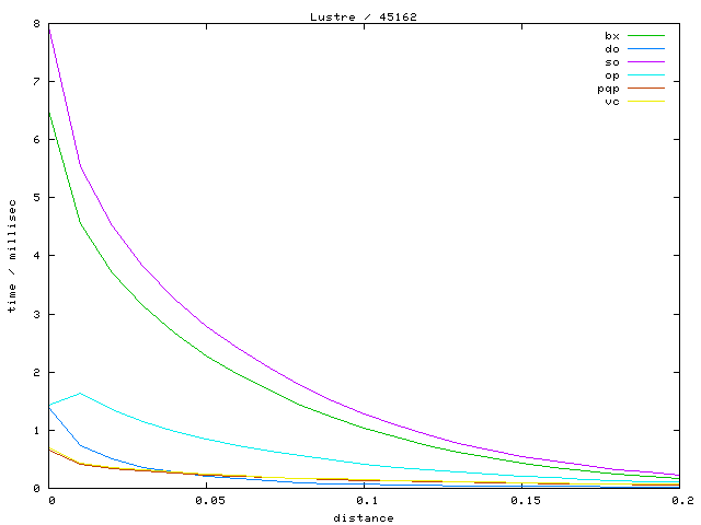
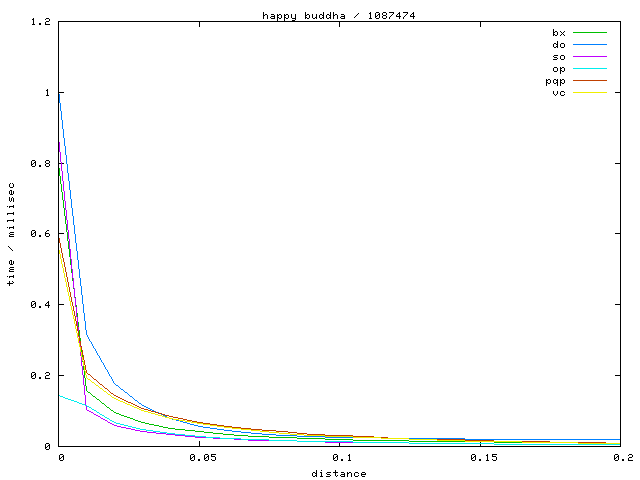
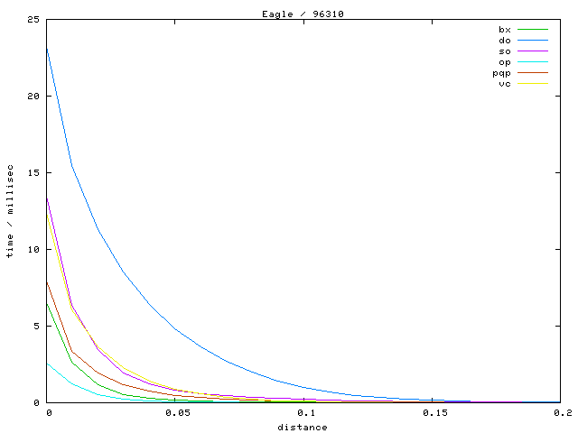
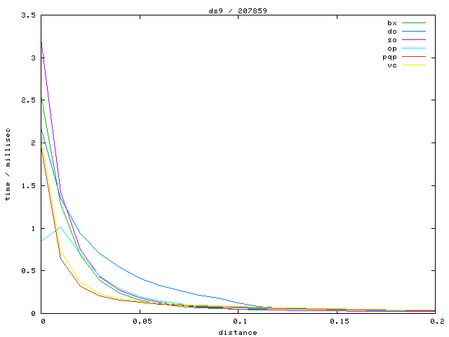
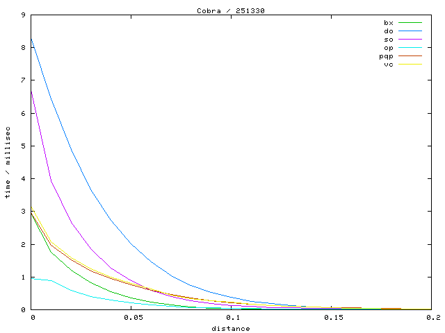
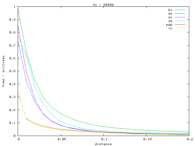
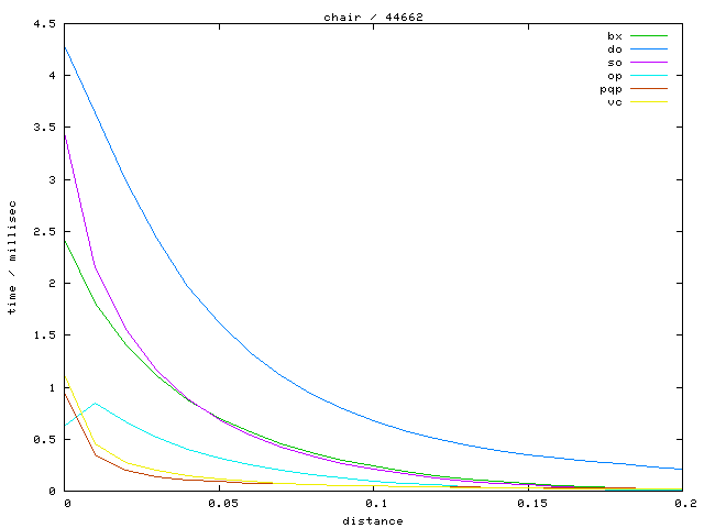
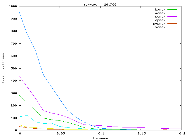
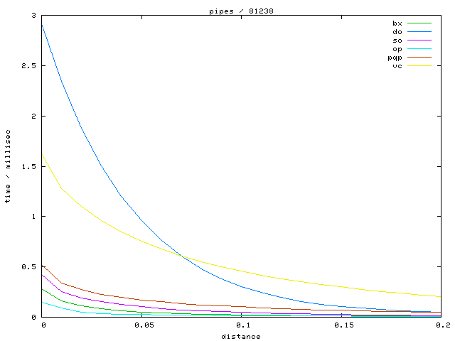
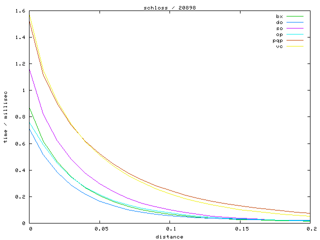
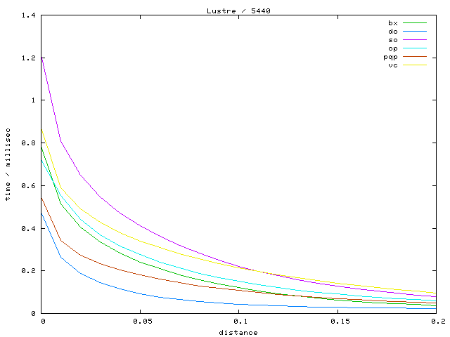
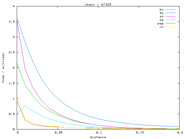
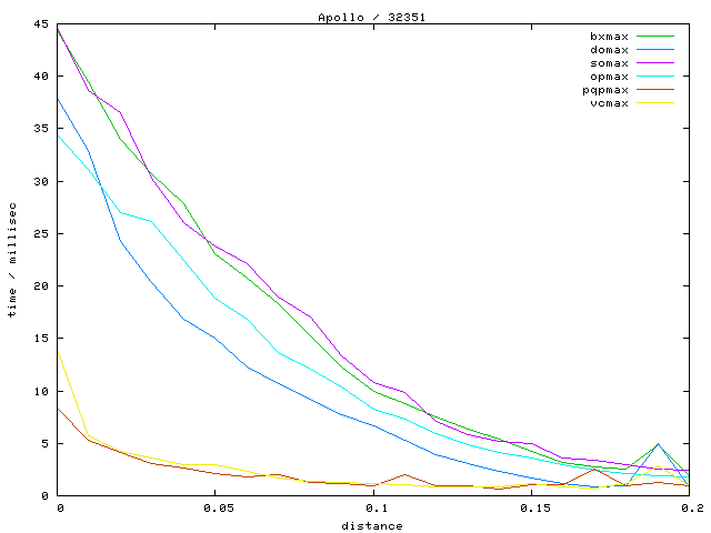
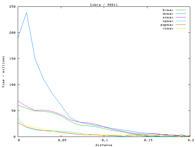
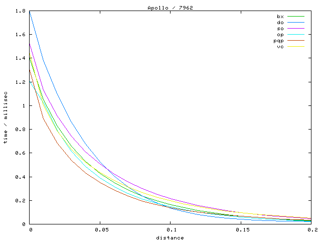
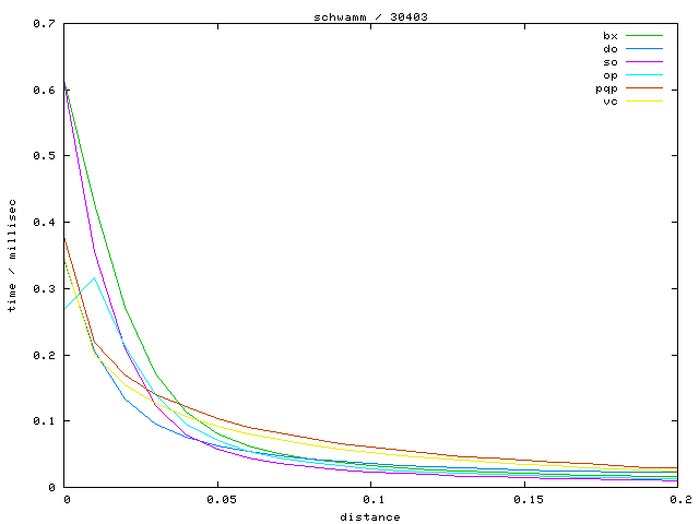
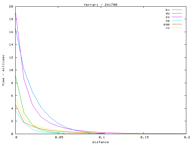
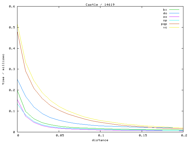
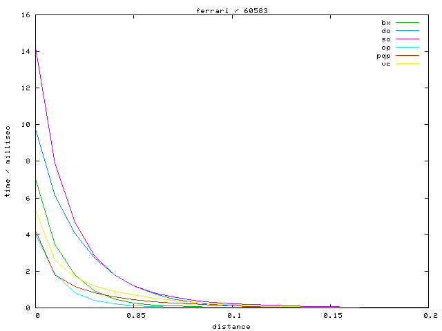
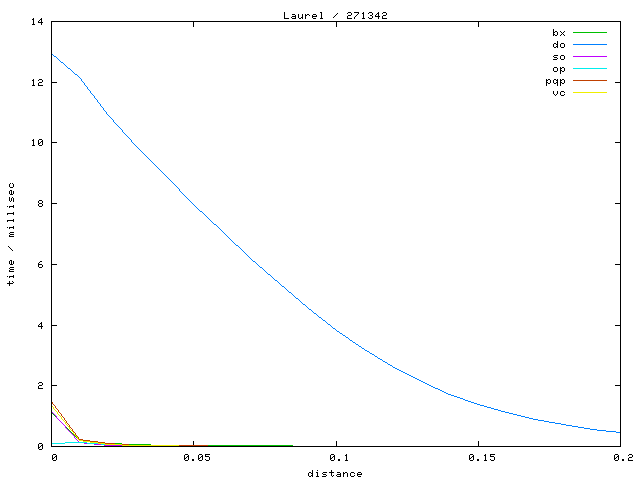
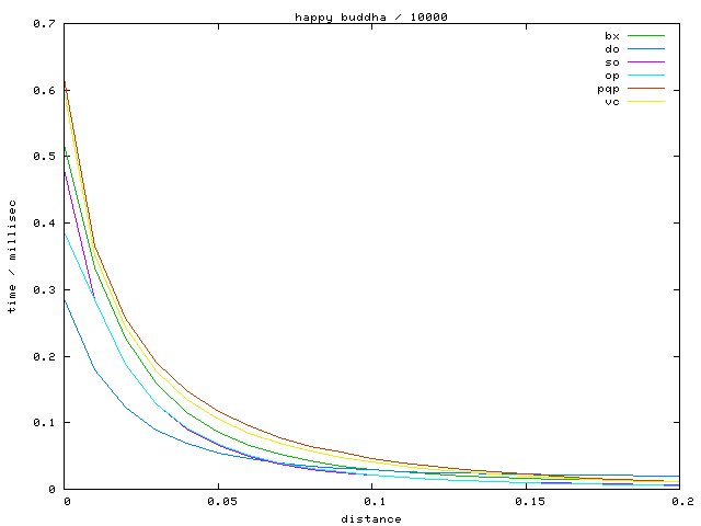
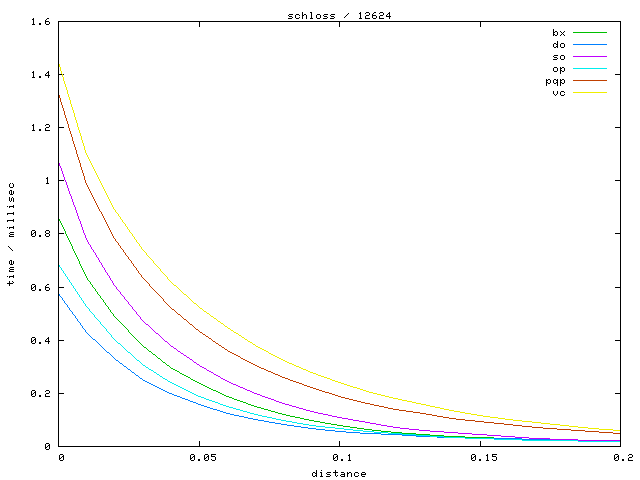
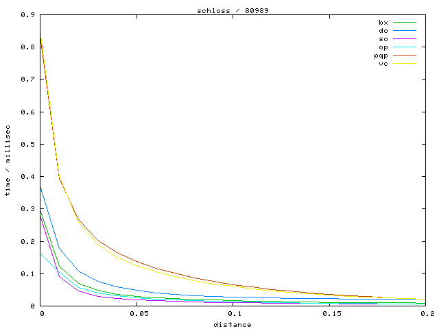
The first table contains diagrams showing the running time against the relative distance.

The numbers in the links mark the number of polygons and the distance, respectively.
Links marked with "avg" refer to plots with the average running time, links marked with "max" to maximum running time plots.

Object Polygon count
ATST 4252 avg
4252 max
20132 avg
20132 max
43155 avg
43155 max
72114 avg
72114 max
108322 avg
108322 max
152944 avg
152944 max
Apollo 7990 avg
7990 max
32601 avg
32601 max
65032 avg
65032 max
98110 avg
98110 max
131008 avg
131008 max
163198 avg
163198 max
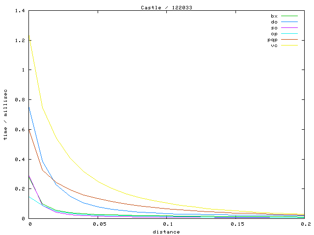
Castle 14871 avg
14871 max
38374 avg
38374 max
64221 avg
64221 max
86680 avg
86680 max
106181 avg
106181 max
127131 avg
127131 max
Cobra 2274 avg
2274 max
49864 avg
49864 max
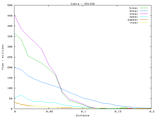
100762 avg
100762 max
152053 avg
152053 max
203059 avg
203059 max
256211 avg
256211 max
Eagle 98512 avg
98512 max
213832 avg
213832 max
335109 avg
335109 max
456505 avg
456505 max
583386 avg
583386 max
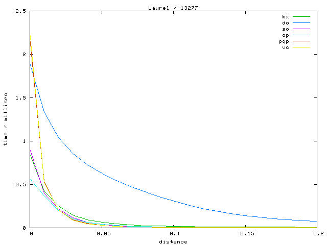
Laurel 13277 avg
13277 max
53701 avg
53701 max
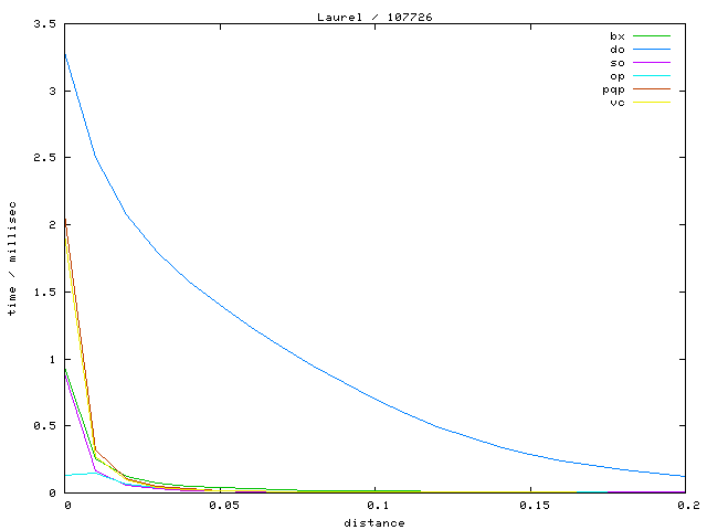
107749 avg
107749 max
162045 avg
162045 max
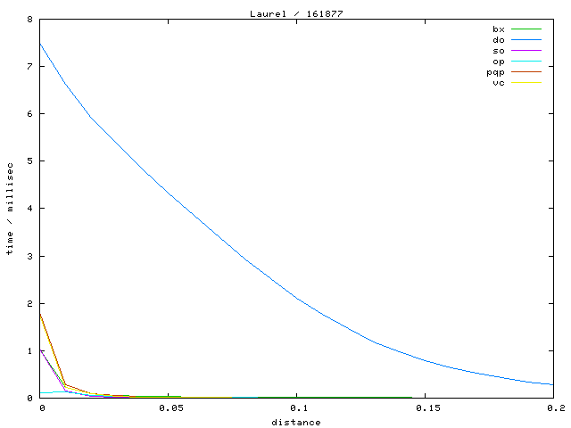
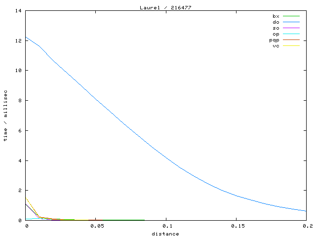
216801 avg
216801 max
271934 avg
271934 max
Lustre 5652 avg
5652 max
23684 avg
23684 max
48360 avg
48360 max
72940 avg
72940 max
97275 avg
97275 max
120850 avg
120850 max
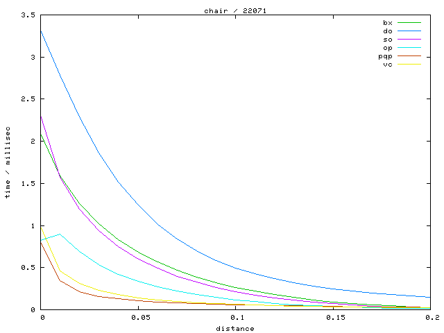
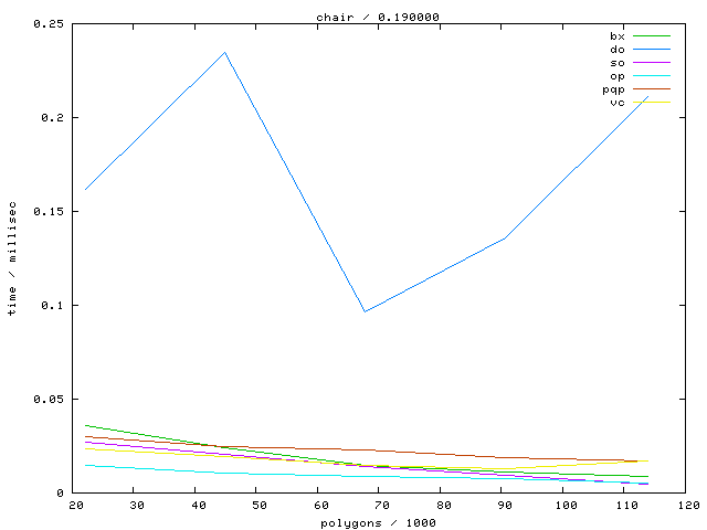
chair 22119 avg
22119 max
44876 avg
44876 max
67677 avg
67677 max
90649 avg
90649 max
113812 avg
113812 max
ds9 97064 avg
97064 max
211455 avg
211455 max
335346 avg
335346 max
459065 avg
459065 max
584499 avg
584499 max
ferrari 61443 avg
61443 max
124258 avg
124258 max
186848 avg
186848 max
249151 avg
249151 max
308567 avg
308567 max
grid 5120 avg
5120 max
15360 avg
15360 max
46080 avg
46080 max
138240 avg
138240 max
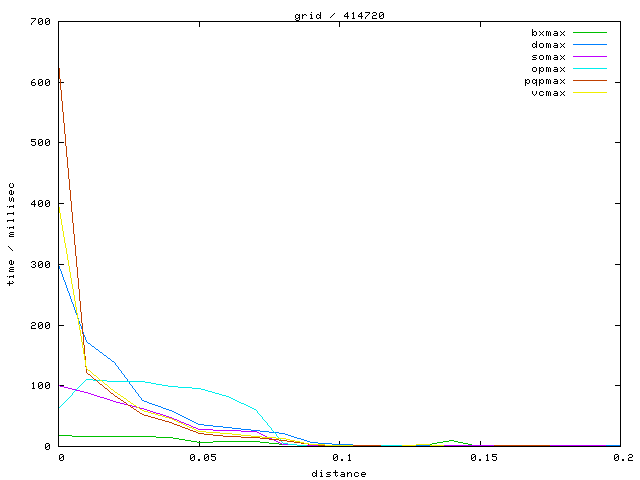
414720 avg
414720 max
happy_buddha 10000 avg
10000 max
20000 avg
20000 max
50000 avg
50000 max
100000 avg
100000 max
125000 avg
125000 max
250000 avg
250000 max
500000 avg
500000 max
1087716 avg
1087716 max
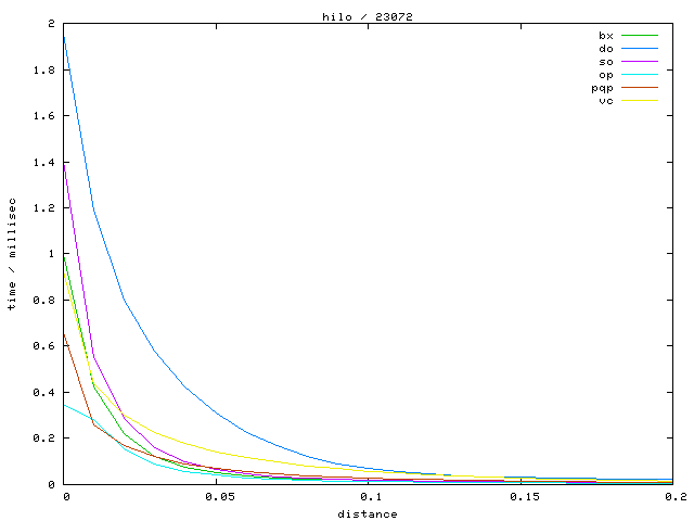
hilo 23700 avg
23700 max
47591 avg
47591 max
71571 avg
71571 max
95560 avg
95560 max
119304 avg
119304 max
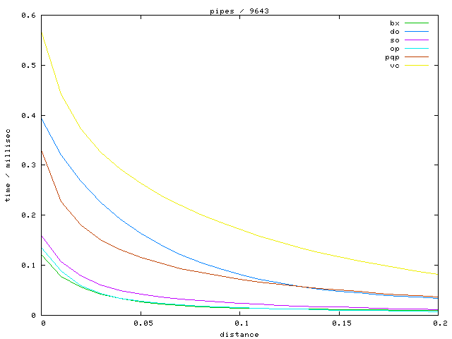
pipes 9814 avg
9814 max
21295 avg
21295 max
44330 avg
44330 max
81932 avg
81932 max
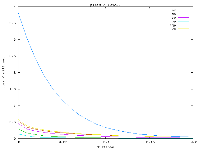
124736 avg
124736 max
schloss 741 avg
741 max
1008 avg
1008 max
1502 avg
1502 max
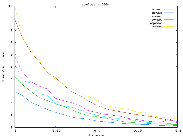
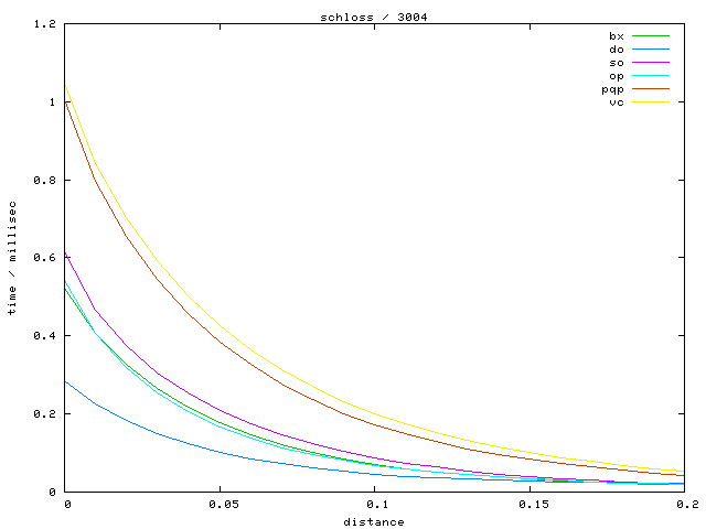
3004 avg
3004 max
7010 avg
7010 max
12624 avg
12624 max
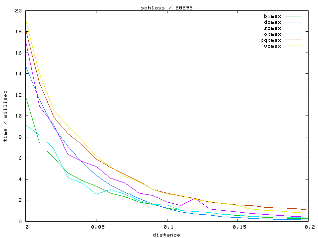
20898 avg
20898 max
26136 avg
26136 max
43509 avg
43509 max
80989 avg
80989 max
207290 avg
207290 max
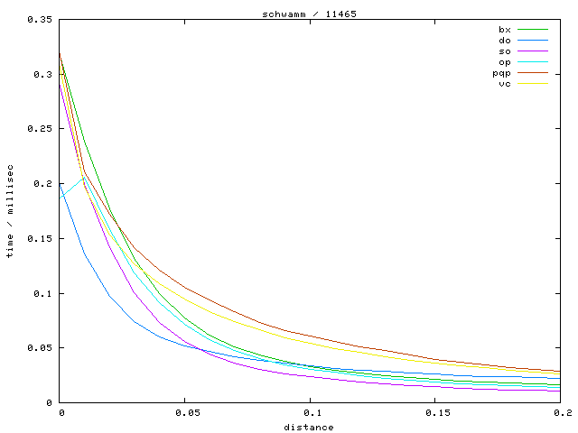
schwamm 11552 avg
11552 max
30560 avg
30560 max
91328 avg
91328 max
273632 avg
273632 max
820544 avg
820544 max
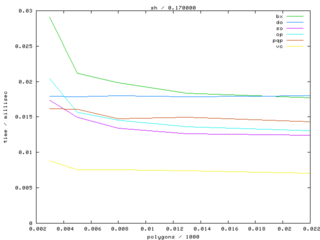
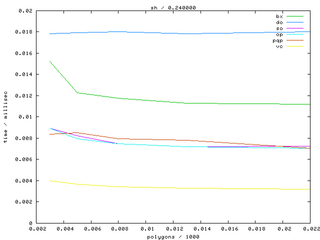
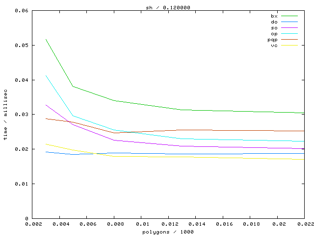
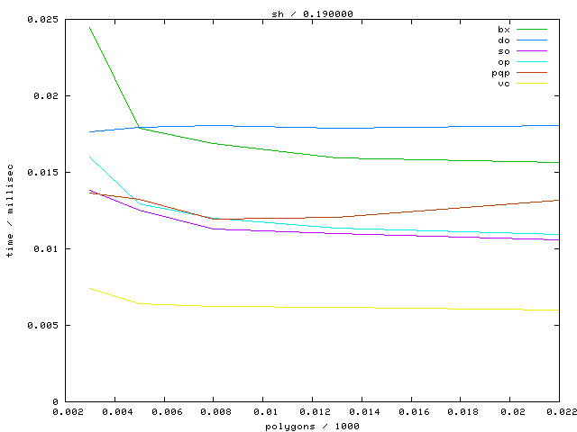
sh 3 avg
3 max
5 avg
5 max
8 avg
8 max
13 avg
13 max
22 avg
22 max
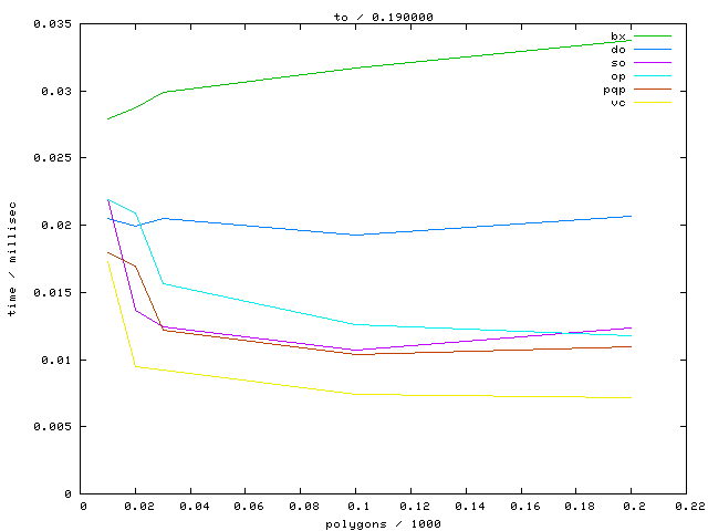
to 10 avg
10 max
20 avg
20 max
30 avg
30 max
100 avg
100 max
200 avg
200 max




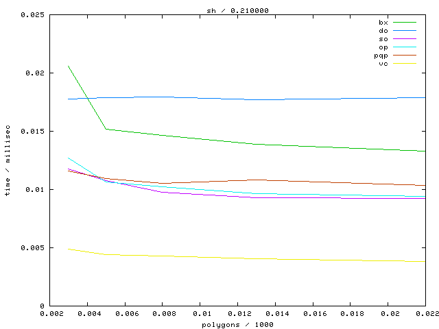
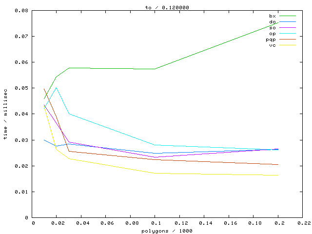
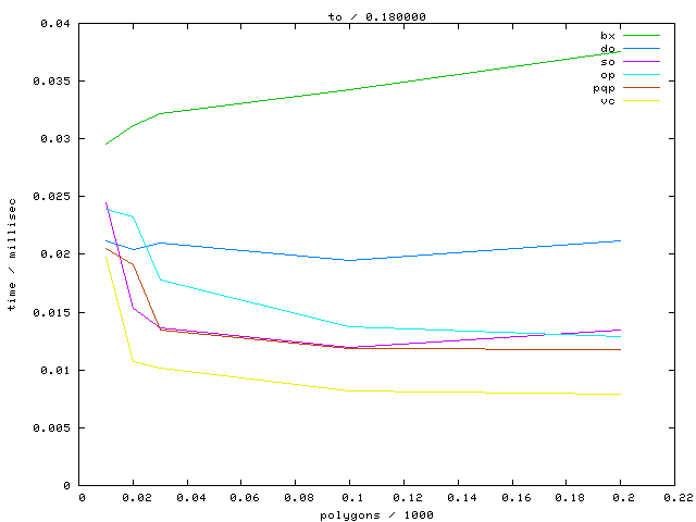
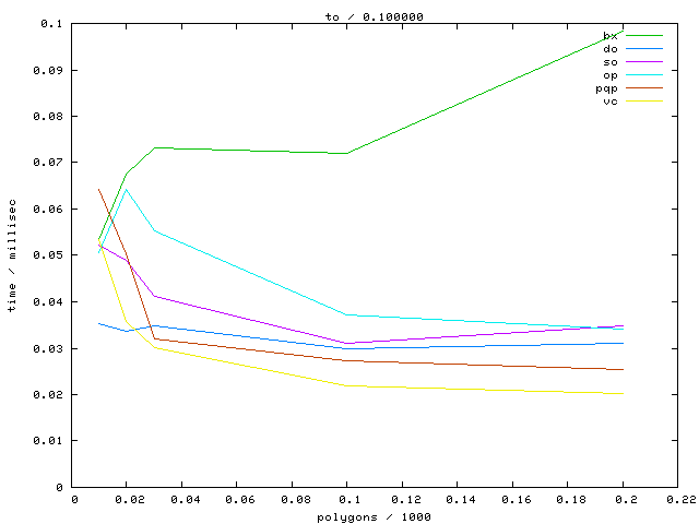
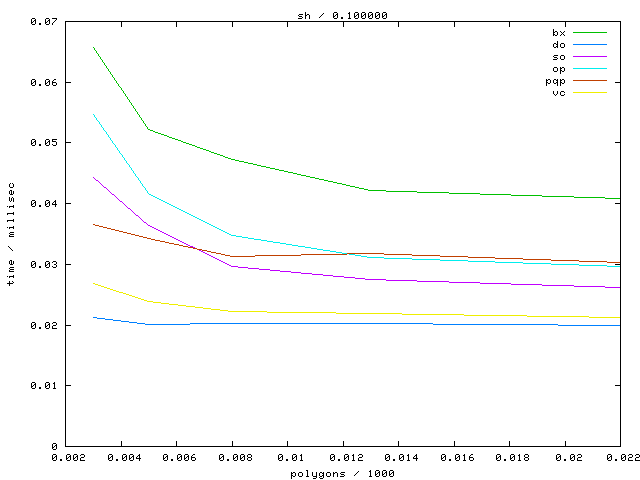
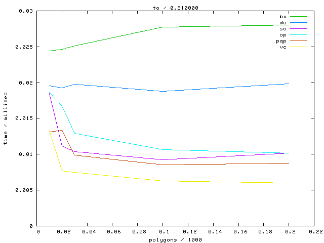
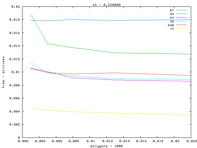
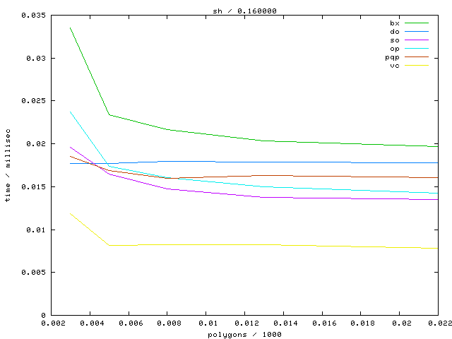
The second table contains diagrams showing the running time against object complexity.
Object Object distance
0.00 0.01 0.02 0.03 0.04 0.05 0.06 0.07 0.08 0.09 0.10 0.11 0.12 0.13 0.14 0.15 0.16 0.17 0.18 0.19 0.20 0.21 0.22 0.23 0.24 0.25 0.26 0.27 0.28 0.29 0.30 0.31 0.32 0.33 0.34 0.35 0.36 0.37 0.38 0.39 0.40
ATST avg
max
avg
max
avg
max
avg
max
avg
max
avg
max
avg
max
avg
max
avg
max
avg
max
avg
max
avg
max
avg
max
avg
max
avg
max
avg
max
avg
max
avg
max
avg
max
avg
max
avg
max
avg
max
avg
max
avg
max
avg
max
avg
max
avg
max
avg
max
avg
max
avg
max
avg
max
avg
max
avg
max
avg
max
avg
max
avg
max
avg
max
avg
max
avg
max
avg
max
avg
max
Apollo avg
max
avg
max
avg
max
avg
max
avg
max
avg
max
avg
max
avg
max
avg
max
avg
max
avg
max
avg
max
avg
max
avg
max
avg
max
avg
max
avg
max
avg
max
avg
max
avg
max
avg
max
avg
max
avg
max
avg
max
avg
max
avg
max
avg
max
avg
max
avg
max
avg
max
avg
max
avg
max
avg
max
avg
max
avg
max
avg
max
avg
max
avg
max
avg
max
avg
max
avg
max
Castle avg
max
avg
max
avg
max
avg
max
avg
max
avg
max
avg
max
avg
max
avg
max
avg
max
avg
max
avg
max
avg
max
avg
max
avg
max
avg
max
avg
max
avg
max
avg
max
avg
max
avg
max
avg
max
avg
max
avg
max
avg
max
avg
max
avg
max
avg
max
avg
max
avg
max
avg
max
avg
max
avg
max
avg
max
avg
max
avg
max
avg
max
avg
max
avg
max
avg
max
avg
max
Cobra avg
max
avg
max
avg
max
avg
max
avg
max
avg
max
avg
max
avg
max
avg
max
avg
max
avg
max
avg
max
avg
max
avg
max
avg
max
avg
max
avg
max
avg
max
avg
max
avg
max
avg
max
avg
max
avg
max
avg
max
avg
max
avg
max
avg
max
avg
max
avg
max
avg
max
avg
max
avg
max
avg
max
avg
max
avg
max
avg
max
avg
max
avg
max
avg
max
avg
max
avg
max
Eagle avg
max
avg
max
avg
max
avg
max
avg
max
avg
max
avg
max
avg
max
avg
max
avg
max
avg
max
avg
max
avg
max
avg
max
avg
max
avg
max
avg
max
avg
max
avg
max
avg
max
avg
max
avg
max
avg
max
avg
max
avg
max
avg
max
avg
max
avg
max
avg
max
avg
max
avg
max
avg
max
avg
max
avg
max
avg
max
avg
max
avg
max
avg
max
avg
max
avg
max
avg
max
Laurel avg
max
avg
max
avg
max
avg
max
avg
max
avg
max
avg
max
avg
max
avg
max
avg
max
avg
max
avg
max
avg
max
avg
max
avg
max
avg
max
avg
max
avg
max
avg
max
avg
max
avg
max
avg
max
avg
max
avg
max
avg
max
avg
max
avg
max
avg
max
avg
max
avg
max
avg
max
avg
max
avg
max
avg
max
avg
max
avg
max
avg
max
avg
max
avg
max
avg
max
avg
max
Lustre avg
max
avg
max
avg
max
avg
max
avg
max
avg
max
avg
max
avg
max
avg
max
avg
max
avg
max
avg
max
avg
max
avg
max
avg
max
avg
max
avg
max
avg
max
avg
max
avg
max
avg
max
avg
max
avg
max
avg
max
avg
max
avg
max
avg
max
avg
max
avg
max
avg
max
avg
max
avg
max
avg
max
avg
max
avg
max
avg
max
avg
max
avg
max
avg
max
avg
max
avg
max
chair avg
max
avg
max
avg
max
avg
max
avg
max
avg
max
avg
max
avg
max
avg
max
avg
max
avg
max
avg
max
avg
max
avg
max
avg
max
avg
max
avg
max
avg
max
avg
max
avg
max
avg
max
avg
max
avg
max
avg
max
avg
max
avg
max
avg
max
avg
max
avg
max
avg
max
avg
max
avg
max
avg
max
avg
max
avg
max
avg
max
avg
max
avg
max
avg
max
avg
max
avg
max
ds9 avg
max
avg
max
avg
max
avg
max
avg
max
avg
max
avg
max
avg
max
avg
max
avg
max
avg
max
avg
max
avg
max
avg
max
avg
max
avg
max
avg
max
avg
max
avg
max
avg
max
avg
max
avg
max
avg
max
avg
max
avg
max
avg
max
avg
max
avg
max
avg
max
avg
max
avg
max
avg
max
avg
max
avg
max
avg
max
avg
max
avg
max
avg
max
avg
max
avg
max
avg
max
ferrari avg
max
avg
max
avg
max
avg
max
avg
max
avg
max
avg
max
avg
max
avg
max
avg
max
avg
max
avg
max
avg
max
avg
max
avg
max
avg
max
avg
max
avg
max
avg
max
avg
max
avg
max
avg
max
avg
max
avg
max
avg
max
avg
max
avg
max
avg
max
avg
max
avg
max
avg
max
avg
max
avg
max
avg
max
avg
max
avg
max
avg
max
avg
max
avg
max
avg
max
avg
max
grid avg
max
avg
max
avg
max
avg
max
avg
max
avg
max
avg
max
avg
max
avg
max
avg
max
avg
max
avg
max
avg
max
avg
max
avg
max
avg
max
avg
max
avg
max
avg
max
avg
max
avg
max
avg
max
avg
max
avg
max
avg
max
avg
max
avg
max
avg
max
avg
max
avg
max
avg
max
avg
max
avg
max
avg
max
avg
max
avg
max
avg
max
avg
max
avg
max
avg
max
avg
max
happy_buddha avg
max
avg
max
avg
max
avg
max
avg
max
avg
max
avg
max
avg
max
avg
max
avg
max
avg
max
avg
max
avg
max
avg
max
avg
max
avg
max
avg
max
avg
max
avg
max
avg
max
avg
max
avg
max
avg
max
avg
max
avg
max
avg
max
avg
max
avg
max
avg
max
avg
max
avg
max
avg
max
avg
max
avg
max
avg
max
avg
max
avg
max
avg
max
avg
max
avg
max
avg
max
hilo avg
max
avg
max
avg
max
avg
max
avg
max
avg
max
avg
max
avg
max
avg
max
avg
max
avg
max
avg
max
avg
max
avg
max
avg
max
avg
max
avg
max
avg
max
avg
max
avg
max
avg
max
avg
max
avg
max
avg
max
avg
max
avg
max
avg
max
avg
max
avg
max
avg
max
avg
max
avg
max
avg
max
avg
max
avg
max
avg
max
avg
max
avg
max
avg
max
avg
max
avg
max
pipes avg
max
avg
max
avg
max
avg
max
avg
max
avg
max
avg
max
avg
max
avg
max
avg
max
avg
max
avg
max
avg
max
avg
max
avg
max
avg
max
avg
max
avg
max
avg
max
avg
max
avg
max
avg
max
avg
max
avg
max
avg
max
avg
max
avg
max
avg
max
avg
max
avg
max
avg
max
avg
max
avg
max
avg
max
avg
max
avg
max
avg
max
avg
max
avg
max
avg
max
avg
max
schloss avg
max
avg
max
avg
max
avg
max
avg
max
avg
max
avg
max
avg
max
avg
max
avg
max
avg
max
avg
max
avg
max
avg
max
avg
max
avg
max
avg
max
avg
max
avg
max
avg
max
avg
max
avg
max
avg
max
avg
max
avg
max
avg
max
avg
max
avg
max
avg
max
avg
max
avg
max
avg
max
avg
max
avg
max
avg
max
avg
max
avg
max
avg
max
avg
max
avg
max
avg
max
schwamm avg
max
avg
max
avg
max
avg
max
avg
max
avg
max
avg
max
avg
max
avg
max
avg
max
avg
max
avg
max
avg
max
avg
max
avg
max
avg
max
avg
max
avg
max
avg
max
avg
max
avg
max
avg
max
avg
max
avg
max
avg
max
avg
max
avg
max
avg
max
avg
max
avg
max
avg
max
avg
max
avg
max
avg
max
avg
max
avg
max
avg
max
avg
max
avg
max
avg
max
avg
max
sh avg
max
avg
max
avg
max
avg
max
avg
max
avg
max
avg
max
avg
max
avg
max
avg
max
avg
max
avg
max
avg
max
avg
max
avg
max
avg
max
avg
max
avg
max
avg
max
avg
max
avg
max
avg
max
avg
max
avg
max
avg
max
avg
max
avg
max
avg
max
avg
max
avg
max
avg
max
avg
max
avg
max
avg
max
avg
max
avg
max
avg
max
avg
max
avg
max
avg
max
avg
max
to avg
max
avg
max
avg
max
avg
max
avg
max
avg
max
avg
max
avg
max
avg
max
avg
max
avg
max
avg
max
avg
max
avg
max
avg
max
avg
max
avg
max
avg
max
avg
max
avg
max
avg
max
avg
max
avg
max
avg
max
avg
max
avg
max
avg
max
avg
max
avg
max
avg
max
avg
max
avg
max
avg
max
avg
max
avg
max
avg
max
avg
max
avg
max
avg
max
avg
max
avg
max