A Benchmarking Suite for Static Collision Detection Algorithms
There are a number of algorithms for collision detection between rigid objects. Unfortunately,
it is extremely difficult to evaluate and compare collision detection algorithms, because in
general they are very sensitive to specific scenarios. We propose a benchmarking suite which
can evaluate both the performance as well as the quality of the collision response. The former
is achieved by densely sampling the configuration space of a large number of highly detailed
objects; the latter is achieved by a novel methodology that comprises a number of models for
certain collision scenarios. With these models, we compare the force and torque signals both
in direction and magnitude. It has been kept very simple so that other researchers can easily
reproduce the results and compare their algorithms.
Performance Benchmark
Almost all collision detection libraries for static collision detection between rigid objects
are based on bounding volume hierarchies (BVHs). If the bounding volume (BV) of an object does
not intersect a volume higher in the tree, then it cannot intersect any object below that node.
So, they are all rejected very quickly. If two objects overlap, the recursive traversal during
the collision check should quickly converge towards the colliding polygon pair. So, it is most
time consuming if the BVHs overlap, but the objects do not. Summarizing, the testing time of
pairwise collision detection algorithms depends mainly on the configuration of the two objects
and their shapes, i.e. the positions, orientations, and the distance.
Therefore, it seems to be reasonable for a well-balanced benchmarking procedure to test as many
configurations for a given distance as possible. Based on this observation, our benchmarking suite
automatically generates a large set of configurations for a user defined pair of objects and a
list of distances.
The picture above shows a set of configurations that our benchmarking suite has generated. Every red
dot marks the closest point of the moving object to the fixed object for one special transformation
and distance. Click on the picture to see a short video of the configuration generation. For further
details about the configuration generation algorithms we used in our benchmarking suite, we refer the
interested user to our WSCG-Paper.
Quality Benchmark
Especially with forces, human perception is very sensitive to unexpected discontinuities both in magnitude
and direction. Consequently, collision detection algorithms should provide stable and continuous forces
and torques, even in extreme situations like high impact velocities or large contact areas. Moreover,
they should provide these forces at interactive rates.
In order to determine the collision response quality of an algorithm, we pursue a different approach,
because computing realistic forces and torques from detailed objects in complex contact scenarios is
highly non-trivial. Because of that, we propose to use fairly simple scenarios and geometry tests to
measure the quality of the collision response. We believe that this approach is even more warranted
because different collision handling systems use different measures for the force and torque computations.
For instance, penalty-based methods usually use a translational penetration depth or the penetration
volume, impulse based collision response schemes often need the first time of impact.
Another advantage of simple scenarios is that we can model them, which allows us to calculate the theoretically
expected forces and torques analytically for different collision response schemes. The comparison of this
analytically derived ground truth data with the data gathered from the benchmarked algorithms allows us to
define several measures, such as deviations and discontinuities of forces and torques, or the measurement of
noise. For further details about the Quality Benchmark we used in our benchmarking suite, we refer the
interested user to our VRST2010-Paper.
Publications
Features
- Automatic and exhaustive generation of configurations
- Playback of precomputed configuration files
- Wrappers for several freely available collision detection libraries
- Scripts for benchmarking these libraries with the predefined objects
- Scripts for automatic diagram generation
- Platform independent accuracy of 1 msec
- Measurement of average, minimum and maximum testing times
- Two different methods for sampling the search space
- Two methods for distance computing (Offset-Surfaces and optionally PQP that must be downloaded separately)
- Supports loading objects in the following formats: 3ds, dxf, iv, obj, off, ply, vrml and many more. For details see OpenSGs supported file format list
Prerequisites
- OpenSG version 1.6 or higher
- gcc 3.5 or higher or Visual Studio 2003 or higher
- Optional: gnuplot for automatical generation of diagrams
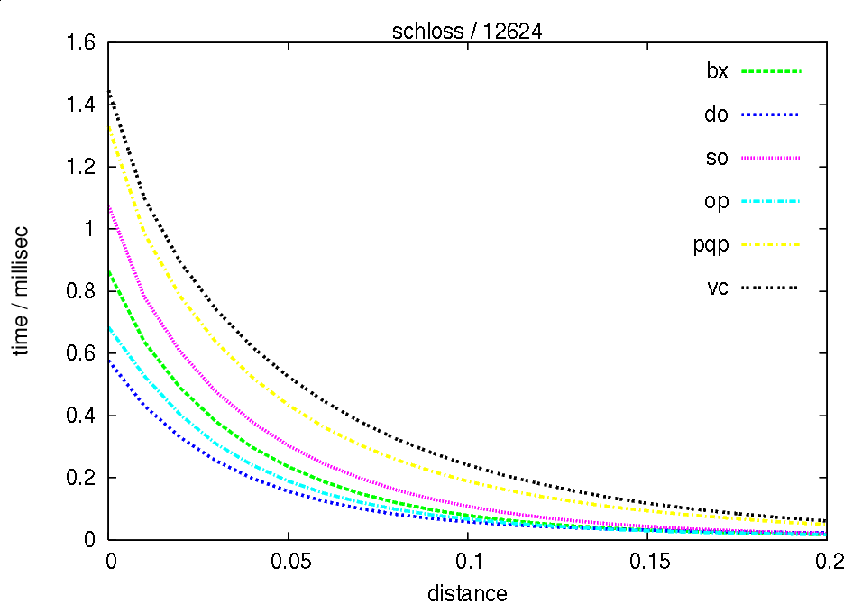
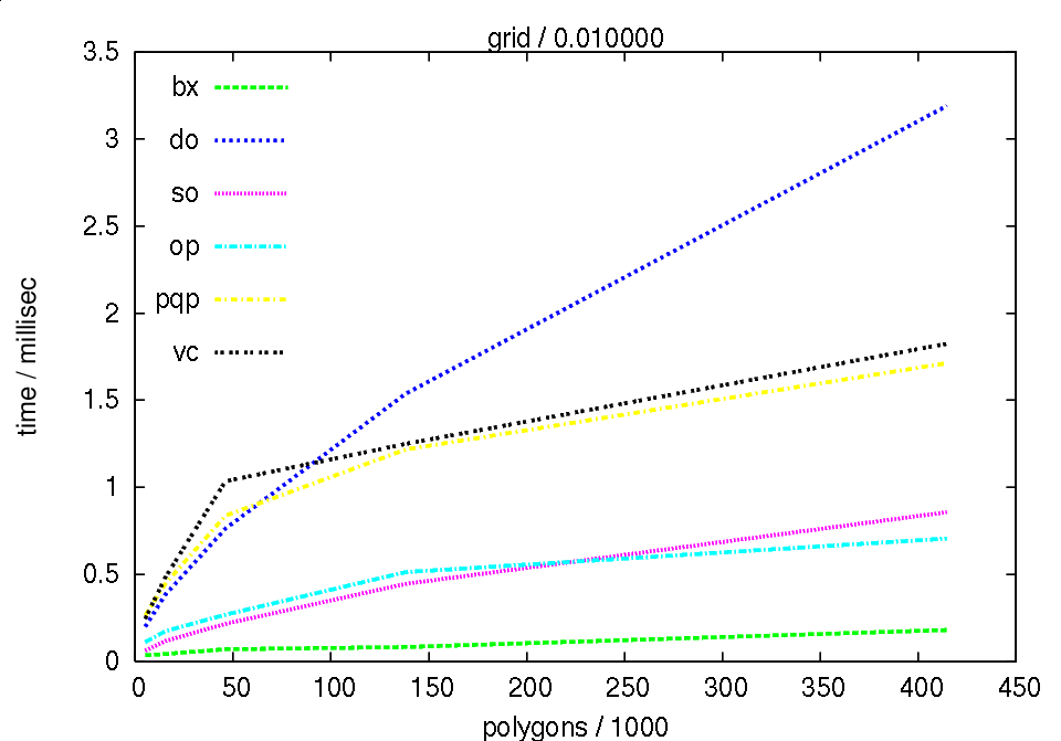
Sample Plots
Examples of automatically generated diagrams. Click here to see all results.
Download
Here, you can download the source code of our benchmarking
suite for free. It is licensed under the GPL.
Supported Collision Detection Libraries so far
FreeSOLID
OPCODE
V-Collide
PQP
Dop-Tree and BoxTree
If you use our benchmarking suite for testing your own collision detection library, it would be quite
nice, if you could send us your wrapper code, so that we can integrate it to our download for
other researchers.
Set of Objects and Configurations
Together with our benchmarking suite, we offer a set of objects and a set of precomputed configurations
for these objects. Each object is available in several resolutions. We recommend to use the precomputed
configurations for your benchmarks because configuration generation is very time consuming (e.g. 2 weeks
of computation on 8 3GHz-Pentium 4`s for the Eagle (low sampled version)).
Configurations were generated using
- Distances from 0%-30% of fixed object size in 30 steps
- Sphere method with PQP for distance computing
- 15° steps for spherical coordinates and 15° steps for rotations along the local coordinate axis of the moving object (collision scenario)
- Therefore, we get app. 1,991k configurations for every distance
- Intersection volume from 0%-10% of fixed object volume in 10 steps
- Sphere method with IST for intersection volume computing
- 15° steps for spherical coordinates and 30° steps for rotations along the local coordinate axis of the moving object (collision scenario)
- Therefore, we get app. 268k configurations for every intersection volume.
Most of the objects are free for non commercial use. For some models, the owners have defined specific licenses.
Apollo Capsule1 6 LODs 8-170k polygons |
 |
Download object (zip, 11MB) |
Download configurations (zip, 117MB) |
|
ATST-Walker1 6 LODs 4-152k polygons |
 |
Download object (zip, 6MB) |
Download configurations (zip, 117MB) |
|
Castle1 6 LODs 14-127k polygons |
 |
Download object (zip, 4MB) |
Download configurations (zip, 115MB) |
|
Chair1 5 LODs 22-114k polygons |
 |
Download object (zip, 4MB) |
Download configurations (zip, 100MB) |
|
Cobra1 6 LODs 2-256k polygons |
 |
Download object (zip, 14MB) |
Download configurations (zip, 110MB) |
|
DS9-Space-Station4 5 LODs 97-584k polygons |
 |
Download object (zip, 4MB) |
Download configurations (zip, 98MB) |
|
Eagle1 5 LODs 98-594k polygons |
 |
Download object (zip, 26MB) |
Download configurations (zip, 90MB) |
|
Ferrari1 5 LODs 61-249k polygons |
 |
Download object (zip, 11MB) |
Download configurations (zip, 94MB) |
|
Grid 5 LODs 5-414k polygons |
 |
Download object (zip, 4MB) |
Download configurations (zip, 78MB) |
|
Happy Buddha3 8 LODs 10-1087k polygons |
 |
Download object (zip, 23MB) |
Download configurations (zip, 140MB) |
|
Helicopter1 5 LODs 23-119k polygons |
 |
Download object (zip, 4MB) |
Download configurations (zip, 98MB) |
|
Laurel1 6 LODs 13-271k polygons |
 |
Download object (zip, 10MB) |
Download configurations (zip, 115MB) |
Lustre1 6 LODs 6-120k polygons |
 |
Download object (zip, 4MB) |
Download configurations (zip, 120MB) |
|
Pipes 5 LODs 10-125k polygons |
 |
Download object (zip, 3MB) |
Download configurations (zip, 100MB) |
|
Lock 15 LODs 1-207k polygons |
 |
Download object (zip, 15MB) |
Download configurations (zip, 221MB) |
|
Sponge 5 LODs 12-820k polygons |
 |
Download object (zip, 11MB) |
Download configurations (zip, 80MB) |
|
Sphere 5 LODs -k polygons |
 |
OpenSG built-in |
Download configurations (zip, 40MB) |
|
Torus 5 LODs -k polygons |
 |
OpenSG built-in |
Download configurations (zip, 90MB) |
|
Hand2 6 LODs 63-650k polygons |
 |
Download object (zip, 26MB) |
Download configurations (zip, 120MB) |
|
Dragon3 5 LODs 174-871k polygons |
 |
Download object (zip, 24MB) |
Comming Soon |
|
Chinese Dragon5 5 LODs 262-1311k polygons |
 |
Download object (zip, 41MB) |
Comming Soon |
Circular Box5 5 LODs 280-1402k polygons |
 |
Download object (zip, 44MB) |
Comming Soon |
Elephant5 5 LODs 614-3074k polygons |
 |
Download object (zip, 88MB) |
Comming Soon |
Female Pelvis6 5 LODs 200-1000k polygons |
 |
Download object (zip, 33MB) |
Comming Soon |
Filigree7 5 LODs 205-1028k polygons |
 |
Download object (zip, 23MB) |
Comming Soon |
Gargoyle6 5 LODs 345-1726k polygons |
 |
Download object (zip, 44MB) |
Comming Soon |
Knot5 5 LODs 191-957k polygons |
 |
Download object (zip, 41MB) |
Comming Soon |
Raptor7 5 LODs 400-2000k polygons |
 |
Download object (zip, 50MB) |
Comming Soon |
Armchair6 5 LODs 142-712k polygons |
 |
Download object (zip, 20MB) |
Comming Soon |
Vase5 5 LODs 358-1792k polygons |
 |
Download object (zip, 40MB) |
Comming Soon |
Object Resources
1.CTU
2.The Stanford 3D Scanning Repository
3.Large Geometric Models Archive
4.Joerg Gerlach
5.Model is provided courtesy of INRIA by the AIM@SHAPE Shape Repository
6.Model is provided courtesy of VCG-ISTI by the AIM@SHAPE Shape Repository
7.Model is provided courtesy of SensAble technologies by the AIM@SHAPE Shape Repository
|